Banister Impulse Model
Following establishing some formulas for replacing TSS I wanted to see why the decay parameters were chosen as 42 and 7 and why these numbers were considered to have a unit of days. I could never see what 42 days represented and hence my establishing a half life equivalent which seemed to have more meaning.
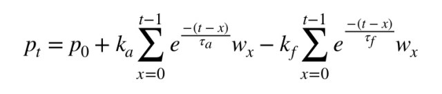
The modelling of Training Stress over time comes from Banister’s Training Impulse Model (reference required) which is:

This is clearly looking quite similar to the TSB equation in my previous article.
- pt is performance at time t. Hence p0 is the starting performance
- ka, kf, τa & τf are constants which will be chosen to achieve a best fit model
- wx is the daily training dose
Lets consider the formula we have for the days CTL. This is calculated by reference to the previous days CTL. Clearly each CTL component can be substituted by the formula to calculate it from the previous day. This will recurse back to time zero. Hence:

Where I and D are the Impact and Decay factors for CTL. We get a similar formula for ATL. Now, strictly speaking, we should insert a CTL and ATL are time zero. The above formulas assume there is no starting fitness or fatigue (ie no starting TSB). So adding these in we get a generalised TSB formula of:

Note that this actually gives us the TSB at the end of day t. If we want to predict performance at the start of day t we need to remove the effect of day t. Lets call this prediction pt. Note, also, that the first two terms are the TSB at time zero. Since we’re called TSB @ time t to be pt lets call this p0 – ie the performance prediction at time zero (the start of the modelling period). Also remember from the previous article that the decay factor, D, is short hand for ‘e’ raised to the power of “-1/f”. Putting this in we get:

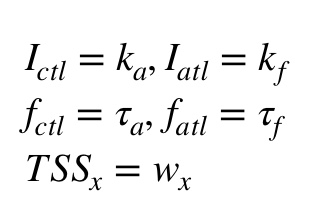
Compare to Banisters formula stated at the start of this article:

This is precisely the same formula just with

Note that the exponent is time based since t and x are measured in days. Hence the devisor, my fctl term, has a unit of days. Thus the number 42 (for CTL) and 7 (for ATL) are in days.
As for why those numbers, that seems to just be years of experience has established that they are good default numbers. With testing it is possible to establish these for a best fit model.
Note that in both formulas we get the Impact constant. This is “I” in my equation. There is no reason that this needs to be related to the decay constant and again if calibrating the model this would be another factor open to change to help fit the model. My previous article showed that if the impact factor is chosen such that “Impact = 1 – Decay” then we find that if TSS on a day is the same as the previous days CTL then CTL will stay the same. This assumption was also required for a constant TSS every day to result in CTL tending towards a value the same as that TSS. I would imagine that both these facts are a good enough reason to chose the Impact factors this way (well at least initially).
However, it’s worth noting that if you were using this model to predict performance. Say by testing 20 min power on a bike. Then the predictions would be measured in watts and represent the predicted results. Thus the impact factors, when calibrated, would scale the impacts of training to give a prediction in watts. In this case they would not be related to the decay factor. It would also mean that the model would be predicting a result in a specific test rather than “general fitness” and using it this way it would be vital that the test used is a good proxy for the event the athlete is training for.
For a model thats not going to be calibrated to a specific test but rather a model that gives a more woolly result of “form” (ie TSB) it may be a good idea to just let I = 1-D to give a more intuitive understanding of how the model evolves. Used in this way, rather than testing and providing a prediction, an athlete / coach observes the TSB numbers and how an athlete performs and with time establishes what the TSB has been when the athlete has performed well, bad, average etc…
Restating Formula to use Half-Life
As established in a previous article the half-life is established by

This is the TSB / Performance formula restated but with the decay constant now representing the half-life, in days, of fitness and fatigue. It inserts a ln(0.5) factor which isn’t “nice” but does result in a factor that actually means something which is.